| 索引号 | 640522033/2020-00034 | 文号 | 生成日期 | 2020-10-20 11:03:00 | |
|---|---|---|---|---|---|
| 公开方式 | 主动公开 | 所属机构 | 海原县甘盐池管委会 | 责任部门 | 海原县甘盐池管委会 |
目 录
第一部分 单位概况
一、部门职责
二、机构设置
第二部分 2019年度部门决算表
一、收入支出决算总表
二、收入决算表
三、支出决算表
四、财政拨款收入支出决算总表
五、一般公共预算财政拨款支出决算表
六、一般公共预算财政拨款基本支出决算表
七、一般公共预算财政拨款“三公”经费支出决算表
八、政府性基金预算财政拨款收入支出决算表
第三部分 2019年度部门决算情况说明
一、收入支出决算总体情况说明
二、收入决算情况说明
三、支出决算情况说明
四、财政拨款收入支出决算总体情况说明
五、一般公共预算财政拨款支出决算情况说明
六、一般公共预算财政拨款基本支出决算情况说明
七、一般公共预算财政拨款“三公”经费支出决算情况说明
八、政府性基金预算财政拨款收入支出决算情况说明
九、其他重要事项的情况说明
(一)机关运行经费支出情况说明
(二)政府采购情况说明
(三)国有资产占有使用情况说明
(四)预算绩效管理工作开展情况说明
第四部分 名词解释
第五部分 附件
第一部分 单位概况
一、部门职责
海原甘盐池种羊场主要职责经营种畜繁育、选育、推广、主要以细羊毛为主、兼搞多种经营,病虫害防御,土地资源管理等完成上级交代的其他工作。
二、机构设置
海原县甘盐池种羊场下设办公室、民生服务事务科、财务室等3个部室,独立核算单位1个,独立编制单位1个。
按照部门决算编报要求,纳入海原县甘盐池种羊场2019年度部门决算编报范围的单位共1个,无二级预算单位。
第二部分 2019年度部门决算表








第三部分 2019年度部门决算情况说明
一、收入支出决算总体情况说明
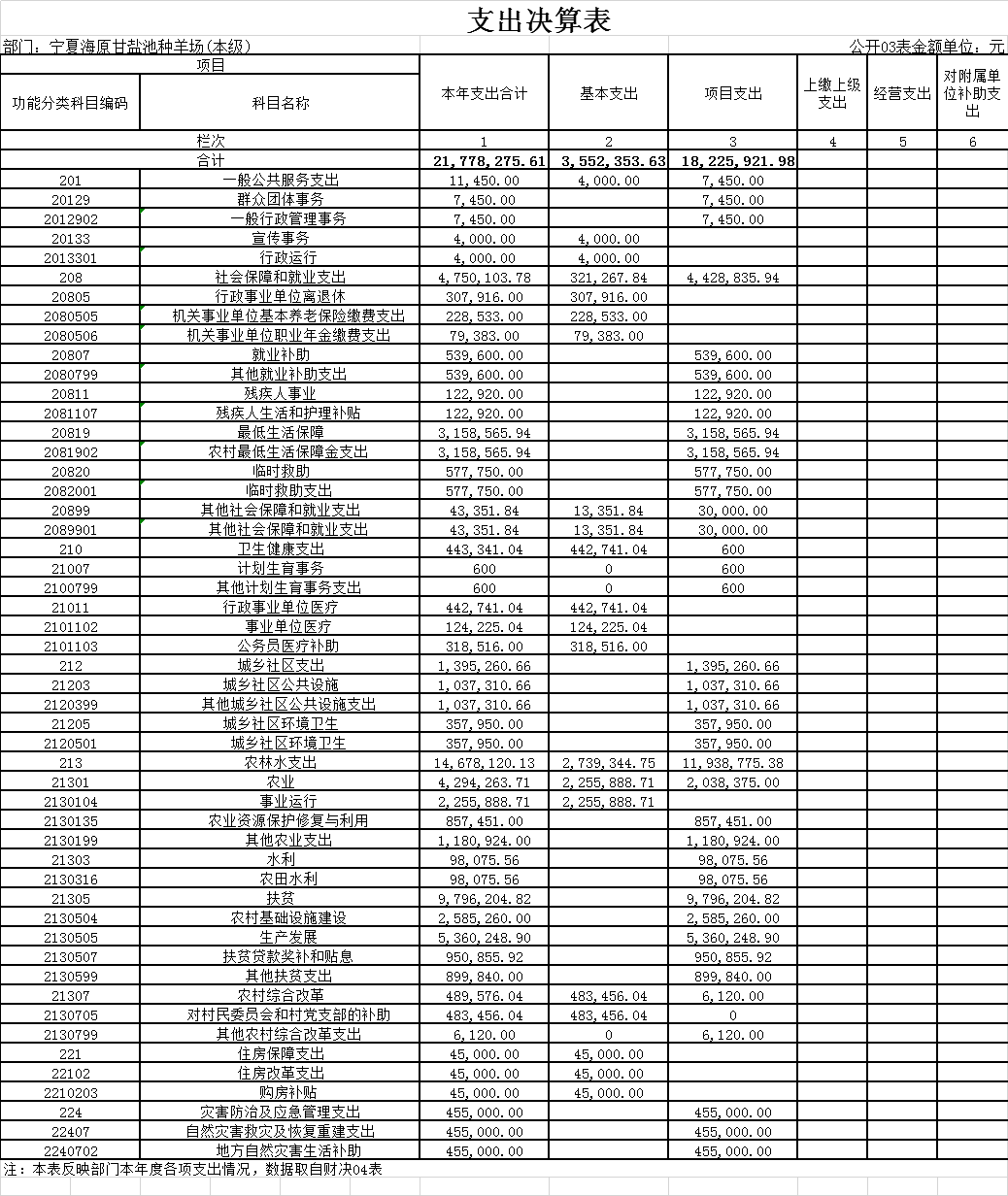
2019年度收入总计21,695,383.49元,支出总计21,778,275.61元
。与2018年度相比,收入总计增加4780847.74元,增长28.26%主要原因是扶贫资金投入增加;盐池行政村张寨自然村新农村建设项目的投入。支出总计增加5413268.63元,增长33.08%,主要原因是扶贫资金投入增加;盐池行政村张寨自然村新农村建设项目的投入。
二、收入决算情况说明
2019年度收入合计21,695,383.49元,其中:财政拨款收入 4,265,875.00元,占19.66%;上级补助收入0元,占0%;事业收入0元,占0%;经营收入0元,占0%;附属单位上缴收入0元,占0%;其他收入17,429,508.49元,占80.34%。
三、支出决算情况说明
2019年度支出合计21,778,275.61元,其中:基本支出3,552,353.63元,占16.31%;项目支出18,225,921.98元,占83.69%;上缴上级支出0元,占0%;经营支出0元,占0%,对附属单位补助支出0元,占0%。
四、财政拨款收入支出决算总体情况说明
2019年度财政拨款收入总计4,265,875.00元,支出总计5,160,569.85元。与2018年度相比,财政拨款收入总计减少2320361.31元,下降35.23%,主要原因是2018年有上缴返还纳入预算的光伏电站公司建设占用本单位土地给的流转费今年无,支出总计增加1800811.63元,增长53.6%,主要原因是2018年有上缴返还纳入预算的光伏电站公司建设占用本单位土地给的流转费今年无,上年结余资金在今年支出。
五、一般公共预算财政拨款支出决算情况说明
(一)一般公共预算财政拨款支出决算总体情况。2019年度一般公共预算财政拨款支出5,160,569.85元,占本年支出合计的23.7%。与2018年度相比,一般公共预算财政拨款支出增加1800811.63元,增长53.6%,主要原因是上年结余资金在今年支出。
(二)一般公共预算财政拨款支出决算结构情况。2019年度一般公共预算财政拨款支出5,160,569.85元,主要用于以下方面:按支出功能分类科目说明如下:一般公共服务(类)支出4,000.00元,占0.08%;社会保障和就业(类)支出321,267.84元,占6.23%;卫生健康(类)支出442,741.04元,占8.58%;城乡社区(类)支出1,177,260.66元,占22.81%;农林水(类)支出3,140,300.31元,占60.85%;自然资源海洋气象(类)支出0元,占0%;住房保障(类)支出45,000.00元,占0.87%,灾害防治及应急管理支出30000.00元,占0.58%等等。
(三)一般公共预算财政拨款支出决算具体情况。2019年度一般公共预算财政拨款支出年初预算为3,183,154.48元,支出决算为5,160,569.85元,完成年初预算的162.12%。决算数大于预算数的主要原因:一是住房公积金预算时在部门,实际支出时拨付住房公积金管理中心;二是项目资金未纳入年初预算。
其中:以财政部门为例:
1. 一般公共服务(类)宣传事务(款)行政运行(项)。年初预算为0元,支出决算为4000.00元,超年初预算4000元,决算数大于预算数的主要原因财政追加精神文明宣传经费。
2. 社会保障和就业支出(类)行政事业单位离退休(款)机关事业单位基本养老保险缴费支出(项)。年初预算为178459.23元,支出决算为228,533.00元,完成年初预算的128.06%,决算数大于预算数的主要原因人员增加1人形成。
3. 社会保障和就业支出(类)行政事业单位离退休(款)机关事业单位职业年金缴费支出(项)。年初预算为0元,支出决算为79,383.00元,超年初预算79,383.00元,决算数大于预算数的主要原因2019年人员退休2人形成。
4. 社会保障和就业支出(类)行政事业单位离退休(款) 财政对失业保险基金的补助(项) 。年初预算为4461.48元,支出决算为0元,完成年初预算的0%,决算数小于预算数的主要原因2019年调整了预算科目。
5. 社会保障和就业支出(类)行政事业单位离退休(款) 财政对工伤保险基金的补助(项) 。年初预算为3569.18元,支出决算为0元,完成年初预算的0%,决算数小于预算数的主要原因2019年调整了预算科目。
6. 社会保障和就业支出(类)行政事业单位离退休(款) 财政对生育保险基金的补助(项) 。年初预算为4015.33元,支出决算为0元,完成年初预算的0%,决算数小于预算数的主要原因2019年调整了预算科目。
7. 社会保障和就业支出(类)其他社会保障和就业支出(款)其他社会保障和就业支出(项)。年初预算为0元,支出决算为13,351.84元,超年初预算13,351.84元,决算数大于预算数的主要原因2019年调整了预算科目。
8. 卫生健康支出(类)其他社会保障和就业支出(款)事业单位医疗(项)。年初预算为71383.69元,支出决算为124,225.04元,完成年初预算的174.02%,决算数大于预算数的主要原因是甘盐池种羊场有9个档案工资人员,社保缴费资金没有进入预算。
9.卫生健康支出(类)其他社会保障和就业支出(款)公务员医疗补助(项)。年初预算为35691.85元,支出决算为318,516.00元,完成年初预算的892.43%,决算数大于预算数的主要原因是退休人员的公务员医疗补助在社保局预算。
10.城乡社区支出(类)城乡社区公共设施(款)其他城乡社区公共设施支出(项)。年初预算为0元,支出决算为1,037,310.66元,超年初预算1,037,310.66元,决算数大于预算数的主要原因年初无预算,支出数为上年结余数。
11.城乡社区支出(类)城乡社区环境卫生(款)城乡社区环境卫生(项)。年初预算为0元,支出决算为139,950.00元,超年初预算139,950.00元,决算数大于预算数的主要原因年财政追加农村环境整治经费。
12. 农林水支出(类)农业(款)事业运行(项)。年初预算为2,383,138.18元,支出决算为2,255,888.71元,完成年初预算的94.66%,决算数小于预算数的主要原因是部分费用没有及时支付。
13.农林水支出(类)水利(款)农田水利(项)。年初预算为0元,支出决算为98,075.56元,超年初预算98,075.56元,决算数大于预算数的主要原因财政追加农田水利奖补资金。
14.农林水支出(类)扶贫(款)其他扶贫支出(项)。年初预算为0元,支出决算为302,880.00元,超年初预算302,880.00元,决算数大于预算数的主要原因是财政追加迁出区复垦费。
15.农林水支出(类)农村综合改革(款)对村民委员会和村党支部的补助(项)。年初预算为310000.00元,支出决算为483,456.04元,完成年初预算的155.95%,决算数大于预算数的主要原因是支出数有上年结余数。
16. 住房保障支出(类)住房改革支出(款)购房补贴(项)。年初预算为55,000.00元,支出决算为45,000.00元完成年初预算的81.82%,决算数大于预算数的主要原因是人员减少。
17. 灾害防治及应急管理支出(类)自然灾害救灾及恢复重建支出(款)地方自然灾害生活补助(项)。年初预算为0元,支出决算为30,000.00元,超年初预算30,000.00元,决算数大于预算数的主要原因是财政追加灾害救助资金。
18.住房保障支出(类)住房改革支出(款)住房公积金(项)。年初预算为137435.54,支出决算为0元,完成年初预算的0%,决算数小于预算数的主要原因是: 我县在职职工住房公积金预算由本单位编制,但实际执行时由财政直接拨入住房公积金管理中心,由住房公积金管理中心列支,本单位不列支,所以只有预算数无决算数。
六、一般公共预算财政拨款基本支出决算情况说明(按经济分类填列到款级科目)
2019年度一般公共预算财政拨款基本支3,552,353.63元,其中:人员经费2,816,762.98元,公用经费735,590.65元。支出具体情况如下:
1.工资福利支出2,026,966.59元,较2019年度年初预算数增加13730.35元,增长0.67%,主要原因是人员增加工资调增;较2018年度决算数增加36806.28元,增长1.85%。
2.商品和服务支出699,290.65元,较2019年度年初预算数减少175731.35元,降低20.08%,主要原因是部分办公房取暖费没支付;较2018年度决算数增加224185.74元,增长47.19%。
3.对个人和家庭的补助789,796.39元,较2019年度年初预算数增加522369.85元,增长195.32%,主要原因是扶贫资金用于困难户生活补贴,村干部补贴增加;较2018年度决算数增加380823.39元,增长93.12%。
4.资本性支出36,300.00元,较2019年度年初预算数增加36300.00元,主要原因是更换电脑打印机;财务制度改变重新安装财务软件;较2018年度决算数减少134650.00元,降低78.76%。
七、一般公共预算财政拨款“三公”经费支出决算情况说明
(一)“三公”经费一般公共预算财政拨款支出决算
总体情况说明。2019年度“三公”经费一般公共预算财政拨款支出预算为160000.00元,支出决算为114,119.85元,完成预算的71.32%,2019年度“三公”经费支出决算数小于预算数的主要原因:一个车辆待报废几乎无运行。
2019年度“三公”经费一般公共预算财政拨款支出决算数比2018年度减少10405.08元,下降8.36%,其中:因公出国(境)费支出决算减少0元,下降0%;公务用车购置及运行费支出决算减少5233.08元,下降4.38%;公务接待费支出决算减少5172.00元,下降100%;因公出国(境)费支出减少的主要原因:我单位没有发生因公出国(境)费支出;公务用车购置及运行费支出减少的主要原因是一个车辆待报废几乎无运行;公务接待费支出减少的主要原因是厉行节约减少开支。
(二)“三公”经费一般公共预算财政拨款支出决算具体情况说明。2019年度“三公”经费一般公共预算财政拨款支出决算中,因公出国(境)费支出决算0元,占0%;公务用车购置及运行费支出决算是114,119.85元,占100%;公务接待费支出决算0元,占0%。具体情况如下:
1.因公出国(境)费预算为0元,支出决算为0元,完成预算的0%;2019年度因公出国(境)团组数0个,因公出国(境)人次数0人次。开支内容包括:我单位没有因公出国(境)费。
2.公务用车购置及运行维护费预算为150000.00元,支出决算为114,119.85元,完成预算的76.08%。其中:公务用车购置费支出为0元,公务用车运行维护费支出114,119.85元,主要用于车辆燃油费及维护费等。2019年度一般公共预算财政拨款开支的公务用车购置数5辆,公务用车保有量为4辆。
3.公务接待费预算为10000.00元,支出决算为0元,完成预算的0%。其中: 国内接待费支出0元,主要由于我单位没有国内接待费。国(境)外接待费支出0元,主要由于我单位没有国(境)外接待费。2019年度国内公务接待批次0个,国内公务接待人次0人,国(境)外公务接待批次0个,国(境)外公务接待人次0人。
八、政府性基金预算财政拨款收入支出决算情况说明
2019年度政府性基金预算财政拨款本年收入0元,本年支出0元,年末结转和结余0元。较2018年度决算数增加0元,增长0%,主要原因是:我单位没有政府性基金。支出具体情况我单位没有发生政府性基金。
九、其他重要事项的情况说明
(一)机关运行经费支出情况说明
2019年度本部门机关运行经费支出0元,比2018年度增加0元,增长0%。主要原因是:我单位是事业单位,没有机关运行经费。
(二)政府采购情况说明
2019年度本部门政府采购支出总额0元。其中:政府采购货物支出0元、政府采购工程支出0元、政府采购服务0元。授予中小企业合同金额0元,占政府采购支出总额的0%,其中:授予小微企业合同金额0元,占政府采购支出总额的0%。
(三)国有资产占有使用情况说明
截至2019年12月31日,本部门房屋面积3,323.86平方米,共有车辆5辆,其中:领导干部用车0辆、一般公务用车0辆;其他用车5辆;单价50万元以上通用设备0台(套),单价100万元以上专用设备0台(套)。
(四)预算绩效管理工作开展情况说明
1.绩效管理工作开展情况。 我单位没有开展绩效管理工作
2.部门决算中项目绩效自评结果。 我单位今年没有开展部门决算中项目绩效自评工作。下一步改进措施:按照年初预算要求开展决算项目绩效自评。
3.以财政厅为主体开展的重点项目绩效评价结果。
2019年,我单位没有开展以财政厅为主体开展的重点项目绩效评价工作,所以没有以财政厅为主体开展的重点项目绩效评价结果。
4.以部门为主体开展的重点项目绩效评价结果。
2019年,我单位没有开展以部门为主体开展的重点项目绩效评价工作,所以没有以部门为主体开展的重点项目绩效评价结果。
第四部分 名词解释
1.财政拨款收入:是指中央财政当年拨付的资金。
2.事业收入:是指事业单位开展专业活动及辅助活动所取得的收入。
3.其他收入:是指部门取得的除“财政拨款”、“事业收入”、“事业单位经营收入”等以外的收入。
4.用事业基金弥补收支差额:是指事业单位在当年的“财政拨款收入”、“事业收入”、“经营收入”和“其他收入”不足以安排当年支出的情况下,使用以前年度积累的事业基金弥补当年收支缺口的资金。
5.上年结转和结余:是指以前年度支出预算因客观条件变化未执行完毕、结转到本年度按有关规定继续使用的资金,既包括财政拨款结转和结余,也包括事业收入、经营收入、其他收入的结转和结余。
6.基本支出:是指为保障机构正常运转、完成日常工作任务所必需的开支,其内容包括人员经费和日常公用经费两部分。
7.项目支出:是指在基本支出之外,为完成特定的行政工作任务或事业发展目标所发生的支出。
8.一般公共服务(类)人大事务(款)人大会议(项):是指各级人大召开人民代表大会等专门会议的支出。
9.一般公共服务(类)政府办公厅(室)及相关机构事务(款)行政运行(项):是指各级政府办公厅(室)及相关机构的行政单位(含参照公务员管理的事业单位)的基本支出。
10.一般公共服务(类)党委办公厅(室)及相关机构事务(款)行政运行(项):是指各级党委办公厅(室)及相关机构行政单位(含参照公务员管理的事业单位)的基本支出。
11.一般公共服务(类)其他一般公共服务支出(款):是指除上述项目以外的一般公共服务支出。
12.公共安全(类)司法(款)行政运行(项):是指司法行政单位(含参照公务员管理的事业单位)的基本支出。
13.文化体育与传媒(类)文化(款)群众文化(项):是指群众文化方面的支出,包括基层文化馆(站)、群众艺术馆等支出。
14.社会保障和就业支出(类)人力资源和社会保障管理事务(款)社会保险业务管理事务(项):是指社会保险业务管理事务和基金监督方面的支出。
15.社会保障和就业支出(类)财政对基本医疗保险基金的补助(款):是指财政对社会保险基金的补助支出。
(一)财政对基本医疗保险基金的补助(项):财政对基本医疗保险基金的补助支出。
(二)财政对工伤保险基金的补助(项):财政对工伤保险基金的补助支出。
(三)财政对生育保险基金的补助(项):财政对生育保险基金的补助支出。
16.社会保障和就业支出(类)行政事业单位离退休(款)未归口管理的行政单位离退休(项):是指未实行归口管理行政单位(含实行公务员管理的事业单位)开支的离退休经费。
17.医疗卫生与计划生育支出(类)计划生育事务(款)计划生育机构(项):是指用于卫生和计划生育部门所属计划生育机构的支出。
18.节能环保支出(类)退耕还林(款)退耕现金(项):是指专项用于退耕户的医疗、教育等日常生活需要的支出。
19.城乡社区支出(类)城乡社区公共设施(款)其他城乡社区公共设施支出(项):是指上述项目以外其他用于城乡社区公共设施方面的支出。
20.城乡社区支出(类)国有土地使用权出让收入及对应专项债务收入安排的支出(款)征地和拆迁补偿支出(项):是指用国有土地使用权出让收入及对应专项债务收入安排的征地和拆迁补偿支出。
21.农林水支出(类)农业(款):是指政府用于农业方面的支出。
(一)事业运行(项):是指用于农业事业单位基本支出。
(二)农业生产支持补贴(项):是指对种粮农民直接补贴,对农业生产资料补贴、技术物化补贴、推广先进适用农技农艺技术等方面的支出。
(三)农业资源保护修复与利用(项):是指用于农业耕地保护、修复与建设、草原、草场生态保护、改良、利用及建设,渔业水产及水生生物资源保护及利用方面的支出。
22.农林水支出(类)林业(款)林业事业机构(项):是指用于林业事业机构的基本支出。
23.农林水支出(类)水利(款):是指政府用于水利方面的支出。
(一)水利行业业务管理(项):是指用于水利行业业务管理方面的支出。
(二)农田水利(项):是指国家对农田水利和打井、集雨设施、节水灌溉等水利设施项目的补助,小型水库除险补助以及排灌站、小水电站补助等。
24.农林水支出(类)扶贫(款):是指政府用于农村扶贫方面的支出。
(一)一般行政管理事务(项):是指行政单位(含实行公务员管理的事业单位)未单位设置项级科目的其他项目支出。
(二)生产发展(项):是指用于农村贫困地区发展种植业、养殖业、畜牧业、农幅产品加工、林果地建设等生产发展项目以及生产技术推广等方面的项目支出。
25.农林水支出(类)农业综合改革(款):是指政府用于农业综合改革方面的支出。
(一)对村级一事一议的补助(项):农村税费改革后对村级公益事业建设的一事一议补助支出
(二)对村民委员会和村党支部的补助(项):是指各级财政对村民委员会和村党支部的补助支出,以及支持建立县级财力基本保障机制安排的村级组织运转奖补资金。
26.“ 三公” 经费:是指纳入财政预决算管理的“三公”经费,是指用财政拨款安排的因公出国(境)费、公务用车购置及运行费和公务接待费。其中,因公出国(境)费反映单位公务出国(境)的住宿费、旅费、伙食补助费、杂费、培训费等支出;公务用车购置及运行费反映单位公务用车购置费及租用费、燃料费、维修费、过路过桥费、保险费、安全奖励费用等支出;公务接待费反映单位按规定开支的各类公务接待(含外宾接待)支出。
27.机关运行经费:是指为保障行政单位(含参照公务员法管理的事业单位)运行用于购买货物和服务的各项资金,包括办公及印刷费、邮电费、差旅费、会议费、福利费、日常维修费及一般设备购置费、办公用房水电费、办公用房取暖费、办公用房物业管理费、公务用车运行维护费以及其他费用。
第五部分 附件
其他有关公开资料
本单位无其他相关资料
各省区市政府网站
自治区各部门网站
中卫市各部门网站